Официальное опубликование правовых актов
ОФИЦИАЛЬНОЕ ОПУБЛИКОВАНИЕ
Приказ Министерства строительства и развития инфраструктуры Свердловской области от 19.03.2021 № 177-П
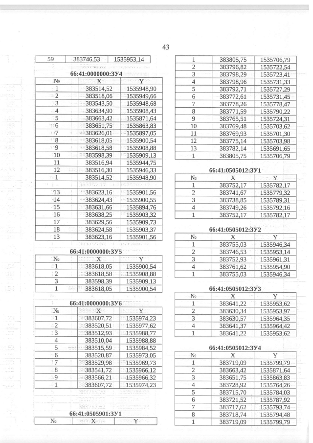
"Об утверждении основной части проекта планировки территории, предназначенной для реконструкции линейного объекта ВЛ 110 кВ Южная – Нижнеисетская 2 с отпайками на ПС Волна, ПС Унипромедь, ПС Монтажная, ПС Уктус 1 с отпайкой на ПС Новинская 1 литер 12, ВЛ 110 кВ Сибирская – Южная 3 с отпайками на ПС Загородная, ПС Уктус, ПС Новинская литер 10 (Электросетевой комплекс подстанции "Южная"), и основной части проекта межевания территории, предназначенной для реконструкции линейного объекта ВЛ 110 кВ Южная – Нижнеисетская 2 с отпайками на ПС Волна, ПС Унипромедь, ПС Монтажная, ПС Уктус 1 с отпайкой на ПС Новинская 1 литер 12, ВЛ 110 кВ Сибирская – Южная 3 с отпайками на ПС Загородная, ПС Уктус, ПС Новинская литер 10 (Электросетевой комплекс подстанции "Южная")"
Номер опубликования: 6601202103240005
Дата опубликования: 24.03.2021
Страница №43 из 50:
Увеличить