Официальное опубликование правовых актов
ОФИЦИАЛЬНОЕ ОПУБЛИКОВАНИЕ
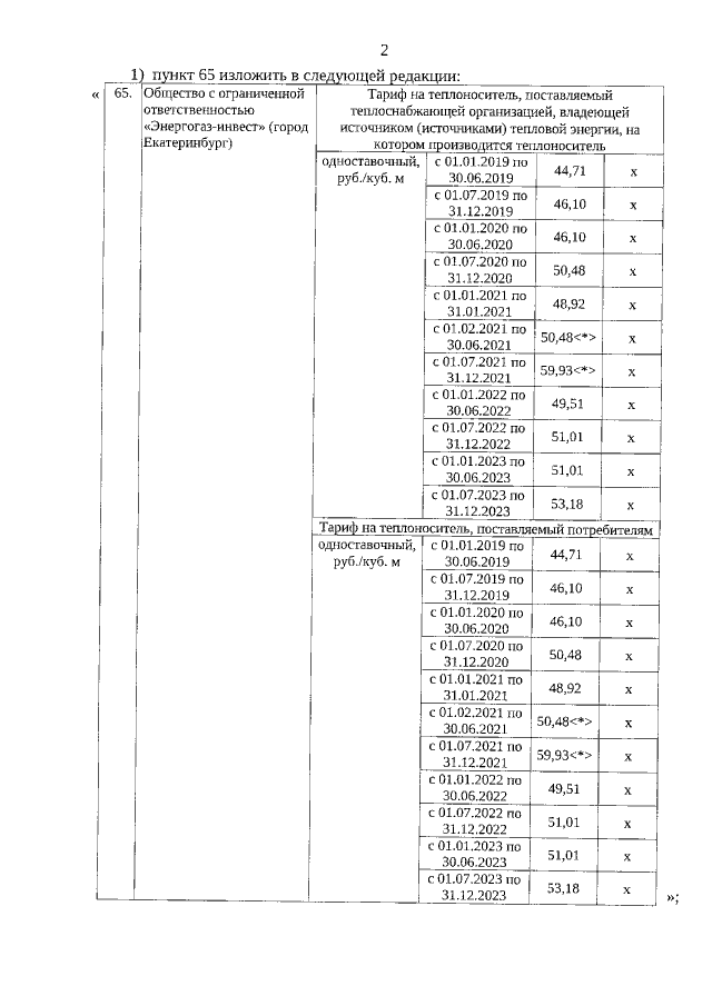
Постановление Региональной энергетической комиссии Свердловской области от 27.01.2021 № 6-ПК
"О внесении изменений в постановление Региональной энергетической комиссии Свердловской области от 11.12.2018 № 284-ПК "Об установлении теплоснабжающим организациям Свердловской области долгосрочных тарифов на теплоноситель с использованием метода индексации установленных тарифов на основе долгосрочных параметров регулирования на 2019–2023 годы"
Номер опубликования: 6601202102020005
Дата опубликования: 02.02.2021
Страница №2 из 4:
Увеличить