Официальное опубликование правовых актов
ОФИЦИАЛЬНОЕ ОПУБЛИКОВАНИЕ
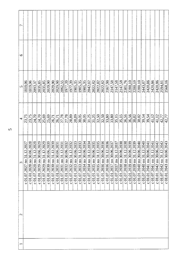
Постановление Региональной энергетической комиссии Свердловской области от 28.12.2020 № 265-ПК
"Об установлении тарифов на горячую воду в закрытой системе горячего водоснабжения, поставляемую обществом с ограниченной ответственностью "Комфортный город" (город Сысерть), с использованием метода индексации на основе долгосрочных параметров регулирования тарифов на 2021–2050 годы"
Номер опубликования: 6601202012300015
Дата опубликования: 30.12.2020
Страница №5 из 8:
Увеличить