Официальное опубликование правовых актов
ОФИЦИАЛЬНОЕ ОПУБЛИКОВАНИЕ
Приказ Министерства строительства и развития инфраструктуры Свердловской области от 17.12.2020 № 763-П
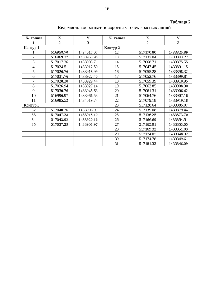
"Об утверждении основной части проекта планировки территории для размещения линейного объекта транспортной инфраструктуры регионального значения "Реконструкция мостового перехода через р. Серебряную на км 69+995 автомобильной дороги г. Нижний Тагил – с. Верхняя Ослянка на территории города Нижний Тагил" и основной части проекта межевания территории для размещения линейного объекта транспортной инфраструктуры регионального значения "Реконструкция мостового перехода через р. Серебряную на км 69+995 автомобильной дороги г. Нижний Тагил – с. Верхняя Ослянка на территории города Нижний Тагил"
Номер опубликования: 6601202012230020
Дата опубликования: 23.12.2020
Страница №16 из 56:
Увеличить