Официальное опубликование правовых актов
ОФИЦИАЛЬНОЕ ОПУБЛИКОВАНИЕ
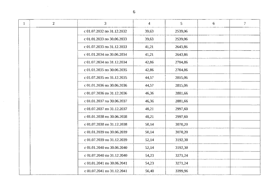
Постановление Региональной энергетической комиссии Свердловской области от 16.12.2020 № 238-ПК
"Об установлении обществу с ограниченной ответственностью ТК "СИСТЕМА" (город Екатеринбург) долгосрочных параметров регулирования, устанавливаемых на долгосрочный период регулирования для формирования тарифов на горячую воду в открытых системах теплоснабжения (горячего водоснабжения) с использованием метода индексации установленных тарифов, и долгосрочных тарифов на горячую воду в открытых системах теплоснабжения (горячего водоснабжения), поставляемую потребителям Каменского городского округа, с использованием метода индексации установленных тарифов на основе долгосрочных параметров регулирования, на 2021–2050 годы"
Номер опубликования: 6601202012230016
Дата опубликования: 23.12.2020
Страница №6 из 11:
Увеличить