Официальное опубликование правовых актов
ОФИЦИАЛЬНОЕ ОПУБЛИКОВАНИЕ
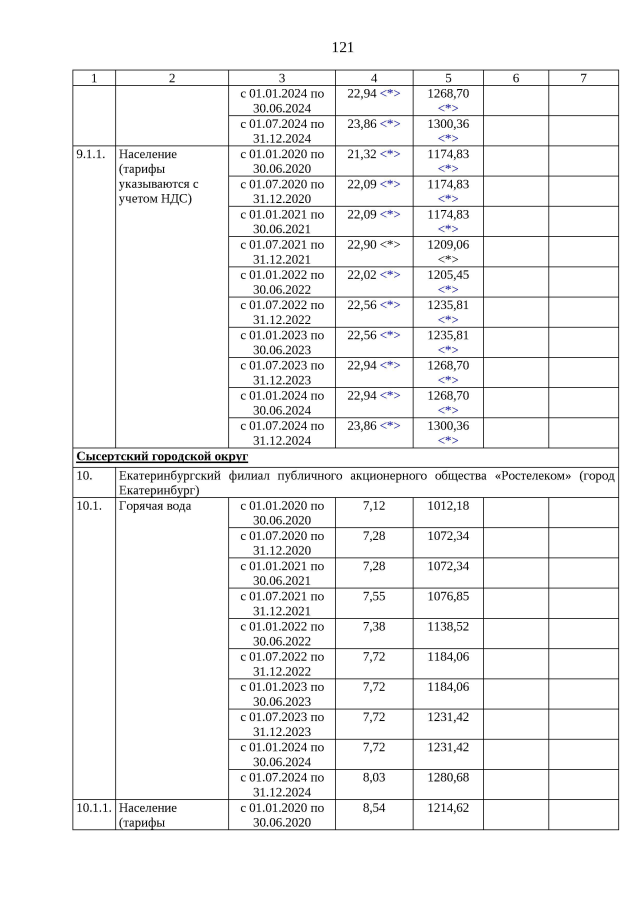
Постановление Региональной энергетической комиссии Свердловской области от 16.12.2020 № 246-ПК
"О внесении изменений в отдельные постановления Региональной энергетической комиссии Свердловской области по установлению тарифов на услуги горячего водоснабжения организациям, осуществляющим горячее водоснабжение с использованием закрытых систем горячего водоснабжения"
Номер опубликования: 6601202012230006
Дата опубликования: 23.12.2020
Страница №121 из 137:
Увеличить