Официальное опубликование правовых актов
ОФИЦИАЛЬНОЕ ОПУБЛИКОВАНИЕ
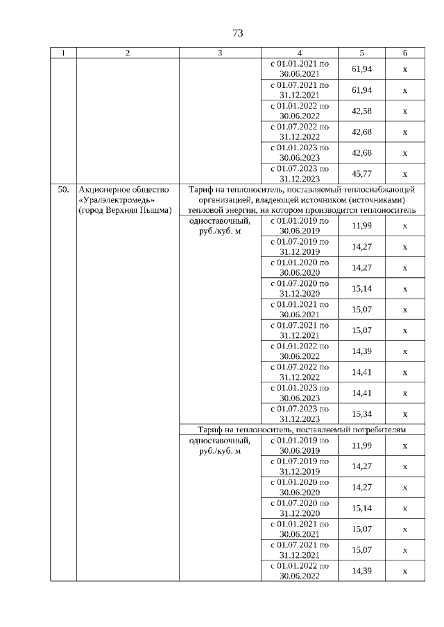
Постановление Региональной энергетической комиссии Свердловской области от 09.12.2020 № 227-ПК
"О внесении изменений в отдельные постановления Региональной энергетической комиссии Свердловской области об установлении тарифов на теплоноситель"
Номер опубликования: 6601202012160038
Дата опубликования: 16.12.2020
Страница №73 из 161:
Увеличить