Официальное опубликование правовых актов
ОФИЦИАЛЬНОЕ ОПУБЛИКОВАНИЕ
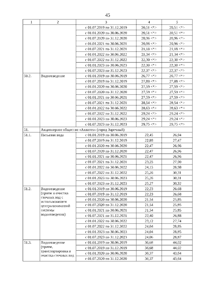
Постановление Региональной энергетической комиссии Свердловской области от 09.12.2020 № 226-ПК
"О внесении изменений в отдельные постановления Региональной энергетической комиссии Свердловской области об установлении тарифов в сфере водоснабжения и (или) водоотведения организациям водопроводно-канализационного хозяйства Свердловской области"
Номер опубликования: 6601202012160033
Дата опубликования: 16.12.2020
Страница №45 из 138:
Увеличить