Официальное опубликование правовых актов
ОФИЦИАЛЬНОЕ ОПУБЛИКОВАНИЕ
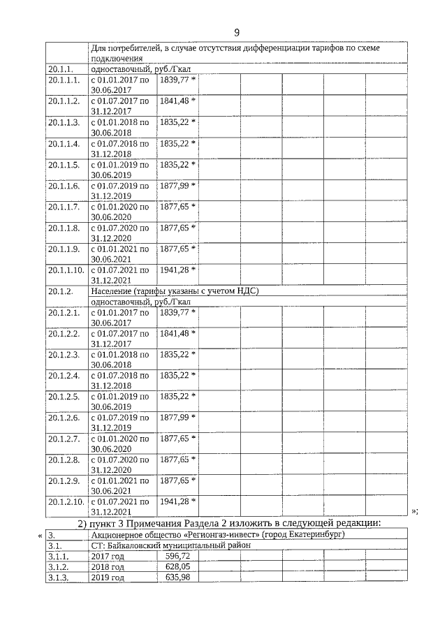
Постановление Региональной энергетической комиссии Свердловской области от 09.12.2020 № 192-ПК
"Об установлении тарифов на тепловую энергию, поставляемую обществом с ограниченной ответственностью "Теплоснаб" (город Екатеринбург) на территории Байкаловского муниципального района, и о внесении изменений в отдельные постановления Региональной энергетической комиссии Свердловской области об установлении тарифов на тепловую энергию (услуги по передаче тепловой энергии) на территории Байкаловского муниципального района"
Номер опубликования: 6601202012160011
Дата опубликования: 16.12.2020
Страница №9 из 11:
Увеличить