Официальное опубликование правовых актов
ОФИЦИАЛЬНОЕ ОПУБЛИКОВАНИЕ
Приказ Министерства социальной политики Свердловской области от 26.11.2020 № 709
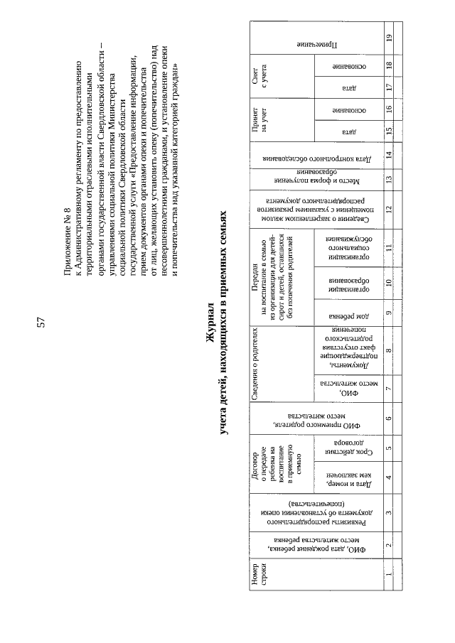
"О внесении изменений в приказ Министерства социальной политики Свердловской области от 08.10.2013 № 650 "Об утверждении Административного регламента по предоставлению территориальными отраслевыми исполнительными органами государственной власти Свердловской области – управлениями социальной политики Министерства социальной политики Свердловской области государственной услуги "Предоставление информации, прием документов органами опеки и попечительства от лиц, желающих установить опеку (попечительство) над несовершеннолетними гражданами, и установление опеки и попечительства над указанной категорией граждан" в новой редакции"
Номер опубликования: 6601202011300004
Дата опубликования: 30.11.2020
Страница №57 из 57:
Увеличить