Официальное опубликование правовых актов
ОФИЦИАЛЬНОЕ ОПУБЛИКОВАНИЕ
Приказ Министерства строительства и развития инфраструктуры Свердловской области от 06.11.2020 № 648-П
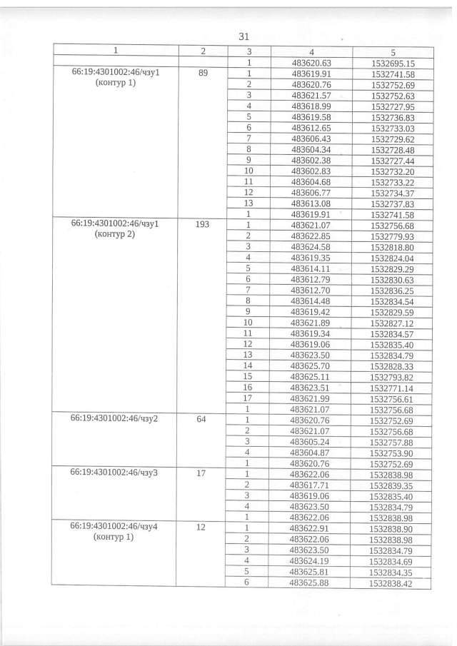
"О внесении изменений в проект межевания территории для размещения линейного объекта транспортной инфраструктуры регионального значения "Реконструкция мостового перехода через р. Бродовку на км 6+258 автомобильной дороги с. Петрокаменское – с. Бродово на территории Горноуральского городского округа", утвержденный приказом Министерства строительства и развития инфраструктуры Свердловской области от 27.03.2018 № 166-П"
Номер опубликования: 6601202011120001
Дата опубликования: 12.11.2020
Страница №31 из 39:
Увеличить