Официальное опубликование правовых актов
ОФИЦИАЛЬНОЕ ОПУБЛИКОВАНИЕ
Приказ Управления государственной охраны объектов культурного наследия Свердловской области от 06.11.2020 № 963
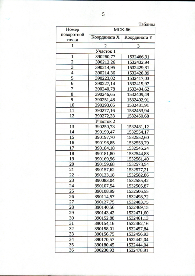
"Об утверждении границ территории объекта культурного наследия регионального значения "Городок юстиции", расположенного по адресу: Свердловская область, г. Екатеринбург, ул. Малышева, и входящих в его состав объектов культурного наследия регионального значения "Дом юстиции", расположенного по адресу: Свердловская область, г. Екатеринбург, ул. Малышева, д. 2б, "Дом жилой", расположенного по адресу: Свердловская область, г. Екатеринбург, ул. Малышева, д. 2ж, и "Детский сад (Дом-улитка)", расположенного по адресу: Свердловская область, г. Екатеринбург, ул. Малышева, д. 2е, и режима использования данной территории"
Номер опубликования: 6601202011090023
Дата опубликования: 09.11.2020
Страница №5 из 7:
Увеличить