Официальное опубликование правовых актов
ОФИЦИАЛЬНОЕ ОПУБЛИКОВАНИЕ
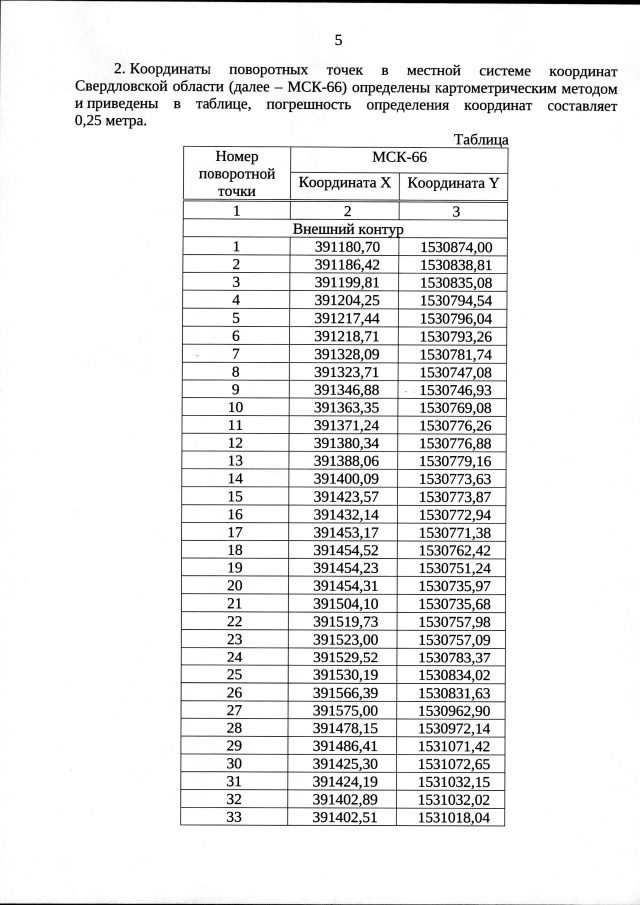
Приказ Управления государственной охраны объектов культурного наследия Свердловской области от 06.11.2020 № 981
"Об утверждении границ территории объекта культурного наследия регионального значения "Комплекс Верх-Исетского металлургического завода" и входящих в его состав объектов культурного наследия регионального значения "Цех доменный и механический", "Цех кричный северный", "Цех кричный южный", "Корпус вспомогательных производств", "Фабрика литейная, механическая и слесарная", "Фабрика плющильная с магазином листового железа" и "Плотина заводского пруда", расположенных по адресу: Свердловская область, г. Екатеринбург, территория ВИЗа, и режима использования данной территории"
Номер опубликования: 6601202011090006
Дата опубликования: 09.11.2020
Страница №5 из 8:
Увеличить