Официальное опубликование правовых актов
ОФИЦИАЛЬНОЕ ОПУБЛИКОВАНИЕ
Постановление Региональной энергетической комиссии Свердловской области от 30.09.2020 № 96-ПК
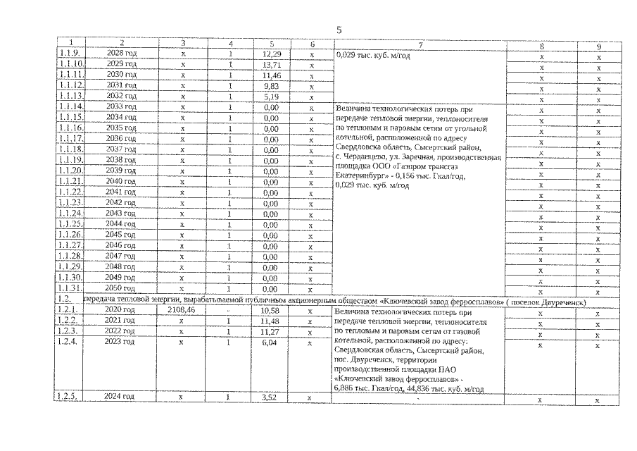
"Об установлении тарифов на тепловую энергию (услуги по передаче тепловой энергии), поставляемую обществом с ограниченной ответственностью "Комфортный город" (город Сысерть) на территории Сысертского городского округа, и о внесении изменений в постановление Региональной энергетической комиссии Свердловской области от 28.11.2018 № 188-ПК "Об установлении тарифов на тепловую энергию, поставляемую обществом с ограниченной ответственностью "Комфортный город" (город Сысерть) с использованием метода индексации установленных тарифов на основе долгосрочных параметров регулирования тарифов на 2018−2048 годы, и о внесении изменений в постановление Региональной энергетической комиссии Свердловской области от 13.12.2016 № 161-ПК "Об установлении тарифов на тепловую энергию, поставляемую теплоснабжающими организациями Свердловской области на 2017−2021 годы"
Номер опубликования: 6601202010070010
Дата опубликования: 07.10.2020
Страница №5 из 29:
Увеличить