Официальное опубликование правовых актов
ОФИЦИАЛЬНОЕ ОПУБЛИКОВАНИЕ
Приказ Министерства строительства и развития инфраструктуры Свердловской области от 01.10.2020 № 571-П
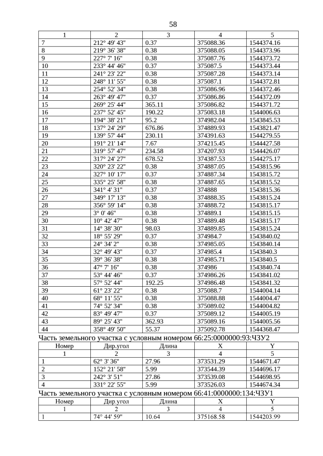
"Об утверждении основной части проекта планировки территории участка трассы внеплощадочного газопровода высокого давления, примыкания к автомобильной дороге "Подъезд к п. Кольцово от км 185+540 а/д "Урал" подъезд к г. Екатеринбург" на 0+465 (слева) и территории выноса двухцепной ВЛ 10 кВ из границ площадки особой экономической зоны промышленно-производственного типа "Титановая долина" и основной части проекта межевания территории участка трассы внеплощадочного газопровода высокого давления, примыкания к автомобильной дороге "Подъезд к п. Кольцово от км 185+540 а/д "Урал" подъезд к г. Екатеринбург" на 0+465 (слева) и территории выноса двухцепной ВЛ 10 кВ из границ площадки особой экономической зоны промышленно-производственного типа "Титановая долина"
Номер опубликования: 6601202010050001
Дата опубликования: 05.10.2020
Страница №58 из 68:
Увеличить