Приказ Управления государственной охраны объектов культурного наследия Свердловской области от 25.09.2020 № 825
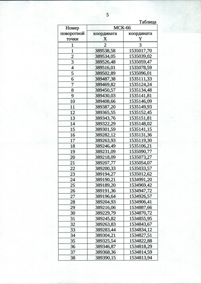
"Об утверждении графического описания местоположения границ защитной зоны объекта культурного наследия регионального значения "Усадьба купца В.С. Потапова" и входящих в его состав объектов культурного наследия регионального значения "Одноэтажный каменный жилой дом", "Одноэтажный деревянный флигель", "Каменная ограда и ворота" и "Элементы благоустройства (гранитные столбики и тротуар)", расположенных по адресу: Свердловская область, г. Екатеринбург, ул. Красноармейская, д. 89, с перечнем координат характерных точек этих границ в системе координат, установленной для ведения Единого государственного реестра недвижимости, и режима использования земель в границах данной защитной зоны"
"Об утверждении графического описания местоположения границ защитной зоны объекта культурного наследия регионального значения "Усадьба купца В.С. Потапова" и входящих в его состав объектов культурного наследия регионального значения "Одноэтажный каменный жилой дом", "Одноэтажный деревянный флигель", "Каменная ограда и ворота" и "Элементы благоустройства (гранитные столбики и тротуар)", расположенных по адресу: Свердловская область, г. Екатеринбург, ул. Красноармейская, д. 89, с перечнем координат характерных точек этих границ в системе координат, установленной для ведения Единого государственного реестра недвижимости, и режима использования земель в границах данной защитной зоны"
Номер опубликования: 6601202010010013
Дата опубликования:
01.10.2020
