Приказ Управления государственной охраны объектов культурного наследия Свердловской области от 25.09.2020 № 848
"Об утверждении графического описания местоположения границ защитной зоны объекта культурного наследия регионального значения "Усадьба купца А.Л. Войтехова", расположенного по адресу: Свердловская область, г. Невьянск, ул. Кирова, д. 16-18, и входящих в его состав объектов культурного наследия регионального значения "Жилой дом" и "Лавка", расположенных по адресу: Свердловская область, г. Невьянск, ул. Кирова, д. 18, и "Доходный дом", расположенного по адресу: Свердловская область, г. Невьянск, ул. Кирова, д. 16, с перечнем координат характерных точек этих границ в системе координат, установленной для ведения Единого государственного реестра недвижимости, и режима использования земель в границах данной защитной зоны"
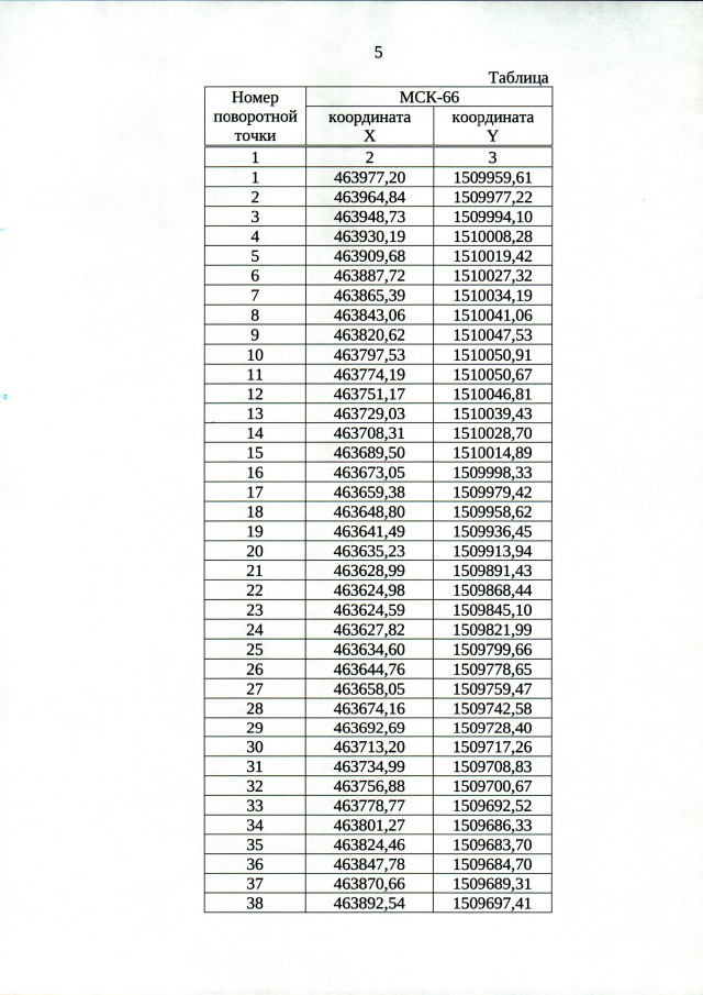
"Об утверждении графического описания местоположения границ защитной зоны объекта культурного наследия регионального значения "Усадьба купца А.Л. Войтехова", расположенного по адресу: Свердловская область, г. Невьянск, ул. Кирова, д. 16-18, и входящих в его состав объектов культурного наследия регионального значения "Жилой дом" и "Лавка", расположенных по адресу: Свердловская область, г. Невьянск, ул. Кирова, д. 18, и "Доходный дом", расположенного по адресу: Свердловская область, г. Невьянск, ул. Кирова, д. 16, с перечнем координат характерных точек этих границ в системе координат, установленной для ведения Единого государственного реестра недвижимости, и режима использования земель в границах данной защитной зоны"
Номер опубликования: 6601202009290008
Дата опубликования:
29.09.2020
