Официальное опубликование правовых актов
ОФИЦИАЛЬНОЕ ОПУБЛИКОВАНИЕ
Приказ Министерства социальной политики Свердловской области от 25.09.2020 № 567
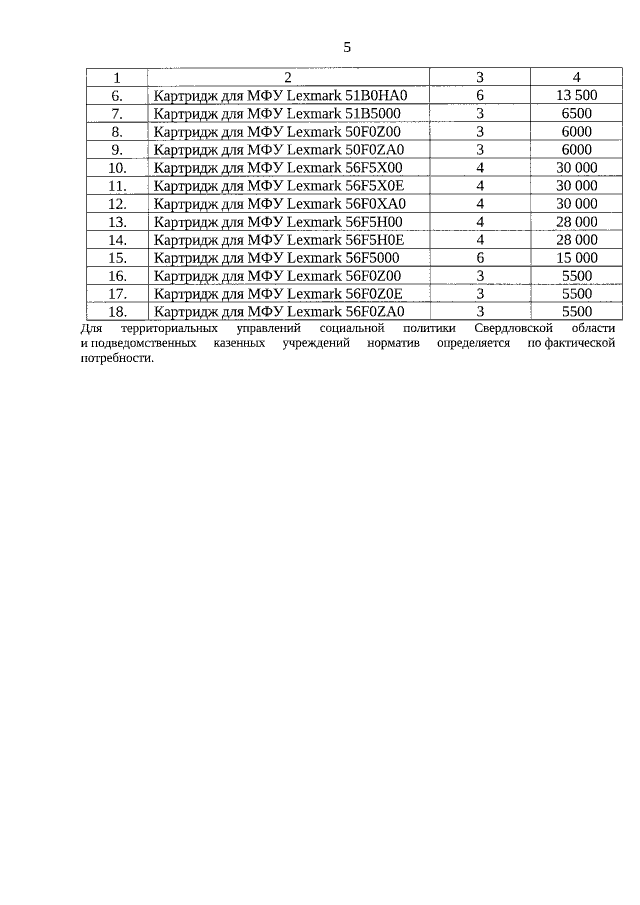
"О внесении изменений в приказ Министерства социальной политики Свердловской области от 23.12.2016 № 614 "Об утверждении нормативных затрат на обеспечение функций Министерства социальной политики Свердловской области, территориальных отраслевых исполнительных органов государственной власти Свердловской области – управлений социальной политики и подведомственных казенных учреждений"
Номер опубликования: 6601202009280001
Дата опубликования: 28.09.2020
Страница №5 из 9:
Увеличить