Приказ Управления государственной охраны объектов культурного наследия Свердловской области от 31.08.2020 № 768
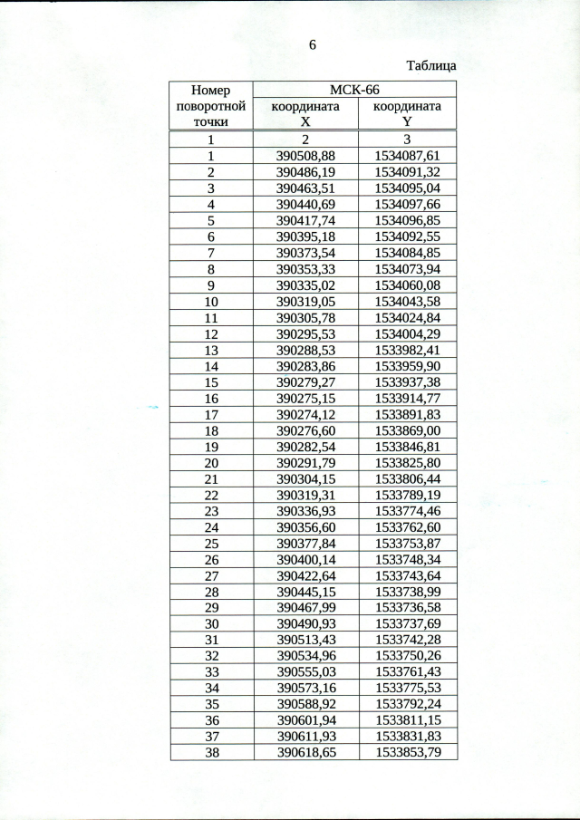
"Об утверждении графического описания местоположения границ защитной зоны объекта культурного наследия регионального значения "Усадьба Е.С. Бородиной", расположенного по адресу: Свердловская область, г. Екатеринбург, ул. Добролюбова, д. 9, 9а, и входящих в его состав объектов культурного наследия регионального значения "Двухэтажный каменный жилой дом" и "Двухэтажный полукаменный флигель", расположенных по адресу: Свердловская область, г. Екатеринбург, ул. Добролюбова, д. 9, "Ворота и ограда", расположенного по адресу: Свердловская область, г. Екатеринбург, ул. Добролюбова, д. 9, 9–а, и "Сад" и "Элементы благоустройства (гранитные плиты тротуаров, столбики)", расположенных по адресу: Свердловская область, г. Екатеринбург, ул. Добролюбова, д. 9, 9а, с перечнем координат характерных точек этих границ в системе координат, установленной для ведения Единого государственного реестра недвижимости, и режима использования земель в границах данной защитной зоны"
"Об утверждении графического описания местоположения границ защитной зоны объекта культурного наследия регионального значения "Усадьба Е.С. Бородиной", расположенного по адресу: Свердловская область, г. Екатеринбург, ул. Добролюбова, д. 9, 9а, и входящих в его состав объектов культурного наследия регионального значения "Двухэтажный каменный жилой дом" и "Двухэтажный полукаменный флигель", расположенных по адресу: Свердловская область, г. Екатеринбург, ул. Добролюбова, д. 9, "Ворота и ограда", расположенного по адресу: Свердловская область, г. Екатеринбург, ул. Добролюбова, д. 9, 9–а, и "Сад" и "Элементы благоустройства (гранитные плиты тротуаров, столбики)", расположенных по адресу: Свердловская область, г. Екатеринбург, ул. Добролюбова, д. 9, 9а, с перечнем координат характерных точек этих границ в системе координат, установленной для ведения Единого государственного реестра недвижимости, и режима использования земель в границах данной защитной зоны"
Номер опубликования: 6601202009020001
Дата опубликования:
02.09.2020
