Официальное опубликование правовых актов
ОФИЦИАЛЬНОЕ ОПУБЛИКОВАНИЕ
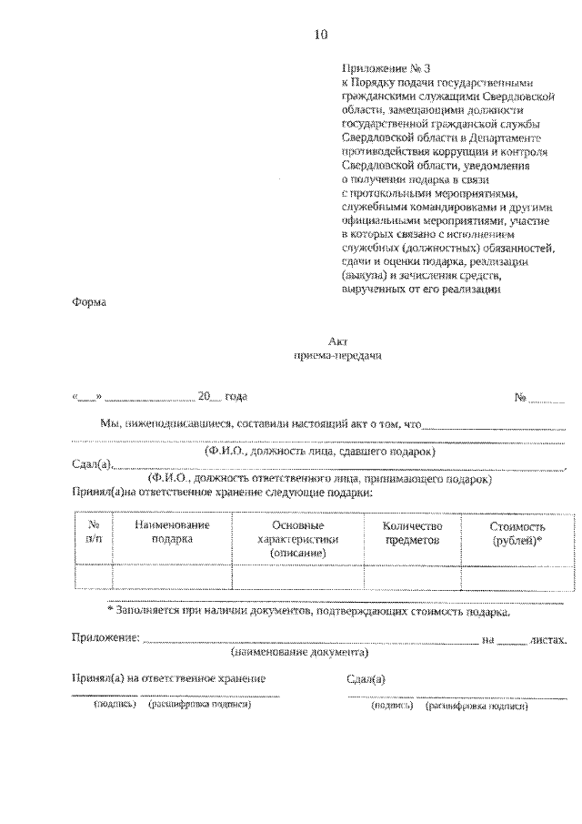
Приказ Департамента противодействия коррупции и контроля Свердловской области от 03.07.2020 № 60
"Об утверждении Порядка подачи государственными гражданскими служащими Свердловской области, замещающими должности государственной гражданской службы Свердловской области в Департаменте противодействия коррупции и контроля Свердловской области, уведомления о получении подарка в связи с протокольными мероприятиями, служебными командировками и другими официальными мероприятиями, участие в которых связано с исполнением служебных (должностных) обязанностей, сдачи и оценки подарка, реализации (выкупа) и зачисления средств, вырученных от его реализации"
Номер опубликования: 6601202007070001
Дата опубликования: 07.07.2020
Страница №10 из 12:
Увеличить