Официальное опубликование правовых актов
ОФИЦИАЛЬНОЕ ОПУБЛИКОВАНИЕ
Приказ Управления государственной охраны объектов культурного наследия Свердловской области от 11.06.2020 № 576
"Об установлении зон охраны объекта культурного наследия регионального значения "Дом А.Н. Судакова", расположенного по адресу: Свердловская область, г. Екатеринбург, ул. Тургенева, д. 24, и утверждении требований к градостроительным регламентам в границах данных зон"
Номер опубликования: 6601202006150014
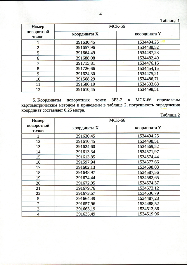
Дата опубликования: 15.06.2020
Страница №4 из 9:
Увеличить