Официальное опубликование правовых актов
ОФИЦИАЛЬНОЕ ОПУБЛИКОВАНИЕ
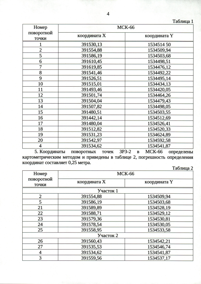
Приказ Управления государственной охраны объектов культурного наследия Свердловской области от 27.05.2020 № 510
"Об установлении зон охраны объекта культурного наследия регионального значения " Дом чиновника Я.С. Стахиева", расположенного по адресу: Свердловская область, г. Екатеринбург, ул. Первомайская, д. 13/16, и утверждении требований к градостроительным регламентам в границах данных зон"
Номер опубликования: 6601202005280001
Дата опубликования: 28.05.2020
Страница №4 из 9:
Увеличить