Официальное опубликование правовых актов
ОФИЦИАЛЬНОЕ ОПУБЛИКОВАНИЕ
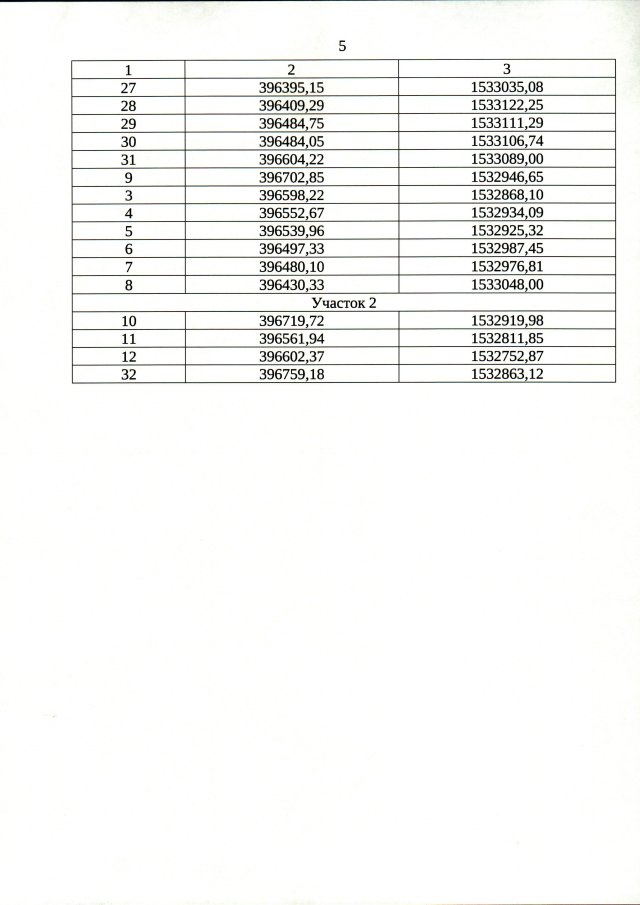
Приказ Управления государственной охраны объектов культурного наследия Свердловской области от 20.05.2020 № 478
"Об установлении зон охраны объекта культурного наследия регионального значения "Ансамбль застройки", расположенного по адресу: Свердловская область, г. Екатеринбург, ул. Культуры, и входящих в его состав объектов культурного наследия регионального значения "Дом жилой", расположенного по адресу: Свердловская область, г. Екатеринбург, ул. Культуры, д. 4, "Дом жилой", расположенного по адресу: Свердловская область, г. Екатеринбург, ул. Культуры, д. 6, и "Дом жилой", расположенного по адресу: Свердловская область, г. Екатеринбург, ул. Культуры, д. 8, и утверждении требований к градостроительным регламентам в границах данных зон"
Номер опубликования: 6601202005210007
Дата опубликования: 21.05.2020
Страница №5 из 9:
Увеличить