Официальное опубликование правовых актов
ОФИЦИАЛЬНОЕ ОПУБЛИКОВАНИЕ
Приказ Управления государственной охраны объектов культурного наследия Свердловской области от 20.05.2020 № 477
"Об установлении зон охраны объекта культурного наследия регионального значения "Дом технической учебы Уралмашзавода", расположенного по адресу: Свердловская область, г. Екатеринбург, ул. Культуры, д. 2/пр. Орджоникидзе, д. 1, и утверждении требований к градостроительным регламентам в границах данных зон"
Номер опубликования: 6601202005210005
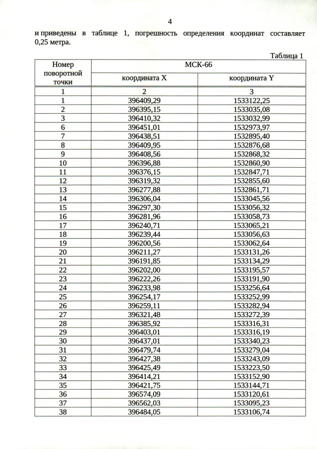
Дата опубликования: 21.05.2020
Страница №4 из 9:
Увеличить