Приказ Управления государственной охраны объектов культурного наследия Свердловской области от 08.05.2020 № 404
"Об утверждении графического описания местоположения границ защитной зоны объекта культурного наследия регионального значения "Улица Красной Армии от ул. Р. Люксембург до ул. Чайковского с существующей застройкой", расположенного по адресу: Свердловская область, г. Алапаевск, и входящих в его состав объектов культурного наследия регионального значения "Особняк", расположенного по адресу: Свердловская область, г. Алапаевск, ул. Красной Армии, д. 3, "Особняк", расположенного по адресу: Свердловская область, г. Алапаевск, ул. Красной Армии, д. 4, "Особняк", расположенного по адресу: Свердловская область, г. Алапаевск, ул. Красной Армии, д. 5, "Особняк", расположенного по адресу: Свердловская область, г. Алапаевск, ул. Красной Армии, д. 6, "Особняк", расположенного по адресу: Свердловская область, г. Алапаевск, ул. Красной Армии, д. 9, "Особняк", расположенного по адресу: Свердловская область, г. Алапаевск, ул. Красной Армии, д. 10, и "Особняк", расположенного по адресу: Свердловская область, г. Алапаевск, ул. Красной Армии, д. 11, с перечнем координат характерных точек этих границ в системе координат, установленной для ведения Единого государственного реестра недвижимости, и режима использования земель в границах данной защитной зоны"
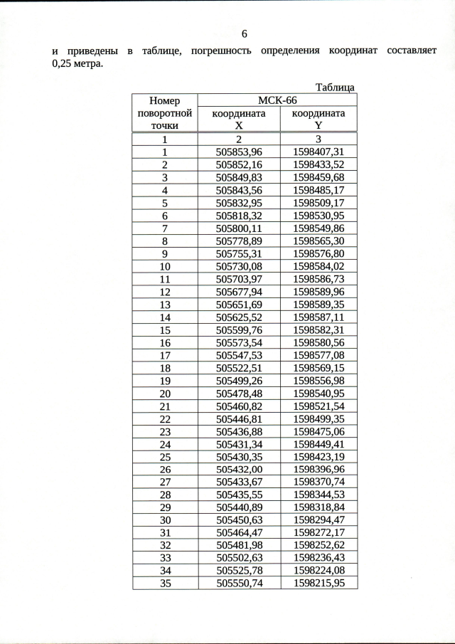
"Об утверждении графического описания местоположения границ защитной зоны объекта культурного наследия регионального значения "Улица Красной Армии от ул. Р. Люксембург до ул. Чайковского с существующей застройкой", расположенного по адресу: Свердловская область, г. Алапаевск, и входящих в его состав объектов культурного наследия регионального значения "Особняк", расположенного по адресу: Свердловская область, г. Алапаевск, ул. Красной Армии, д. 3, "Особняк", расположенного по адресу: Свердловская область, г. Алапаевск, ул. Красной Армии, д. 4, "Особняк", расположенного по адресу: Свердловская область, г. Алапаевск, ул. Красной Армии, д. 5, "Особняк", расположенного по адресу: Свердловская область, г. Алапаевск, ул. Красной Армии, д. 6, "Особняк", расположенного по адресу: Свердловская область, г. Алапаевск, ул. Красной Армии, д. 9, "Особняк", расположенного по адресу: Свердловская область, г. Алапаевск, ул. Красной Армии, д. 10, и "Особняк", расположенного по адресу: Свердловская область, г. Алапаевск, ул. Красной Армии, д. 11, с перечнем координат характерных точек этих границ в системе координат, установленной для ведения Единого государственного реестра недвижимости, и режима использования земель в границах данной защитной зоны"
Номер опубликования: 6601202005130012
Дата опубликования:
13.05.2020
