Официальное опубликование правовых актов
ОФИЦИАЛЬНОЕ ОПУБЛИКОВАНИЕ
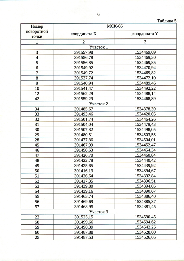
Приказ Управления государственной охраны объектов культурного наследия Свердловской области от 30.03.2020 № 246
"Об установлении зон охраны объекта культурного наследия регионального значения " Усадьба купца М.О. Назарова" и входящих в его состав объектов культурного наследия регионального значения " Гостиница" и "Ограда с воротами", расположенных по адресу: Свердловская область, г. Екатеринбург, ул. Первомайская, д. 11, и утверждении требований к градостроительным регламентам в границах данных зон"
Номер опубликования: 6601202004010004
Дата опубликования: 01.04.2020
Страница №6 из 17:
Увеличить