Официальное опубликование правовых актов
ОФИЦИАЛЬНОЕ ОПУБЛИКОВАНИЕ
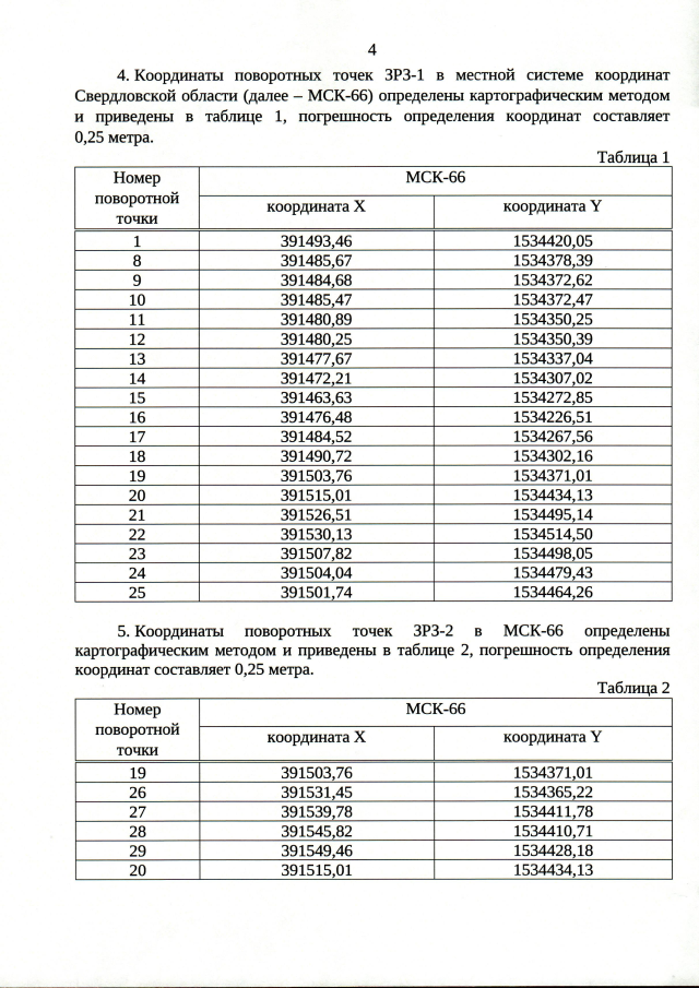
Приказ Управления государственной охраны объектов культурного наследия Свердловской области от 27.02.2020 № 136
"Об установлении зон охраны объекта культурного наследия регионального значения "Концертный зал И.З. Маклецкого", расположенного по адресу: Свердловская область, г. Екатеринбург, ул. Первомайская, д. 22, и утверждении требований к градостроительным регламентам в границах данных зон"
Номер опубликования: 6601202003030006
Дата опубликования: 03.03.2020
Страница №4 из 13:
Увеличить