Официальное опубликование правовых актов
ОФИЦИАЛЬНОЕ ОПУБЛИКОВАНИЕ
Приказ Министерства строительства и развития инфраструктуры Свердловской области от 26.12.2019 № 918-П
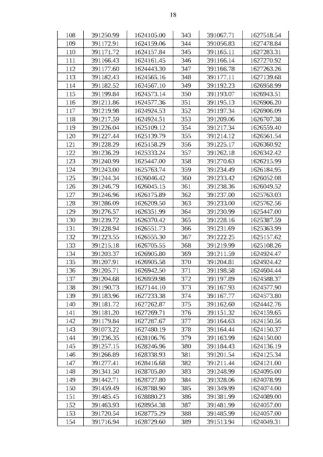
"О внесении изменений в основную часть проекта планировки территории для размещения линейного объекта "Газопровод высокого давления г. Сухой Лог – г. Камышлов" (I этап строительства) и проект межевания территории для размещения линейного объекта "Газопровод высокого давления г. Сухой Лог – г. Камышлов" (I этап строительства)"
Номер опубликования: 6601201912300002
Дата опубликования: 30.12.2019
Страница №18 из 123:
Увеличить