Официальное опубликование правовых актов
ОФИЦИАЛЬНОЕ ОПУБЛИКОВАНИЕ
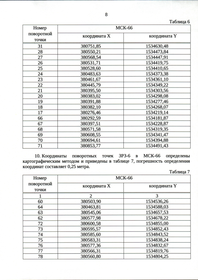
Приказ Управления государственной охраны объектов культурного наследия Свердловской области от 26.12.2019 № 870
"Об установлении зон охраны объекта культурного наследия регионального значения "Спасская церковь", расположенного по адресу: Свердловская область, г. Екатеринбург, ул. Бисертская, д. 12а, и утверждении требований к градостроительным регламентам в границах данных зон"
Номер опубликования: 6601201912270004
Дата опубликования: 27.12.2019
Страница №8 из 18:
Увеличить