Официальное опубликование правовых актов
ОФИЦИАЛЬНОЕ ОПУБЛИКОВАНИЕ
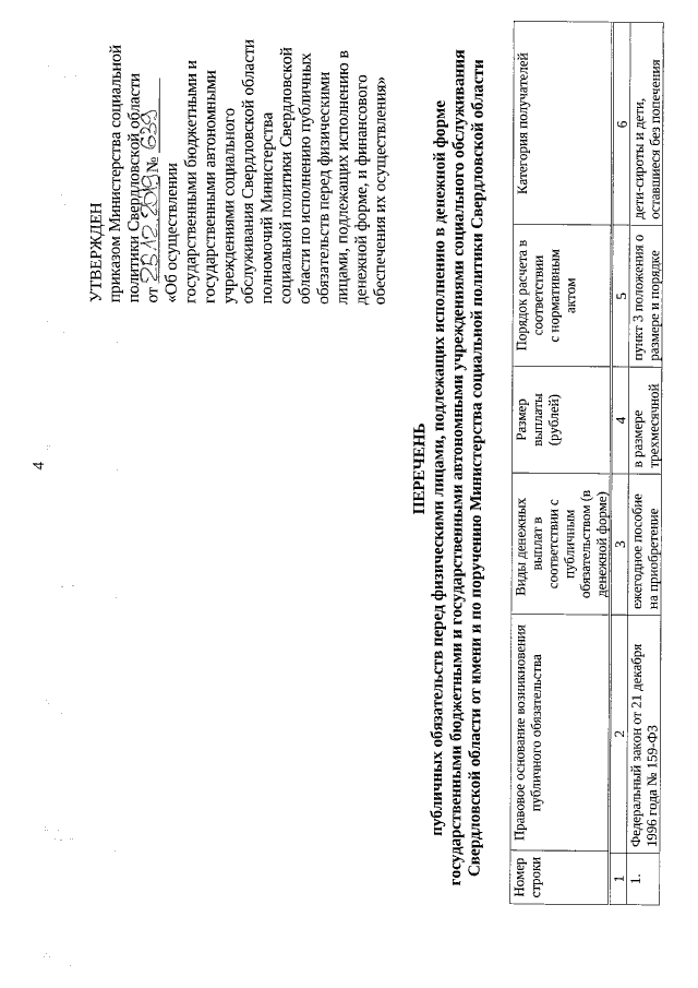
Приказ Министерства социальной политики Свердловской области от 25.12.2019 № 639
"Об осуществлении государственными бюджетными и государственными автономными учреждениями социального обслуживания Свердловской области полномочий Министерства социальной политики Свердловской области по исполнению публичных обязательств перед физическими лицами, подлежащих исполнению в денежной форме, и финансового обеспечения их осуществления"
Номер опубликования: 6601201912270003
Дата опубликования: 27.12.2019
Страница №4 из 26:
Увеличить