Официальное опубликование правовых актов
ОФИЦИАЛЬНОЕ ОПУБЛИКОВАНИЕ
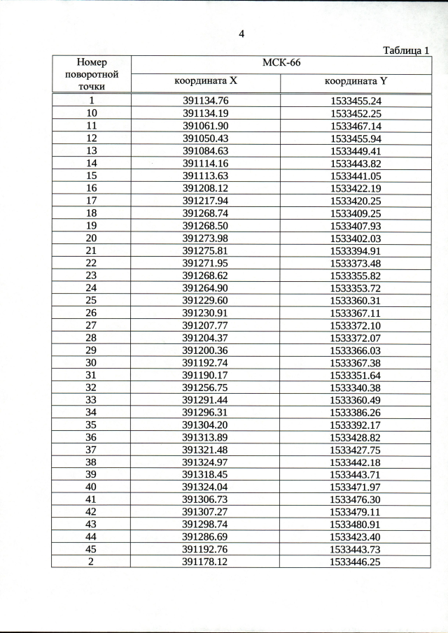
Приказ Управления государственной охраны объектов культурного наследия Свердловской области от 06.12.2019 № 732
"Об установлении зон охраны объекта культурного наследия регионального значения "Дом Уралстройкоопхоза", расположенного по адресу: Свердловская область, г. Екатеринбург, ул. 8 Марта, д. 4, литера В, и утверждении требований к градостроительным регламентам в границах данных зон"
Номер опубликования: 6601201912110006
Дата опубликования: 11.12.2019
Страница №4 из 10:
Увеличить