Официальное опубликование правовых актов
ОФИЦИАЛЬНОЕ ОПУБЛИКОВАНИЕ
Приказ Управления государственной охраны объектов культурного наследия Свердловской области от 29.11.2019 № 680
"Об установлении зон охраны объекта культурного наследия регионального значения "Клуб совторгслужащих", расположенного по адресу: Свердловская область, г. Екатеринбург, ул. Володарского, д. 9, и утверждении требований к градостроительным регламентам в границах данных зон"
Номер опубликования: 6601201912030018
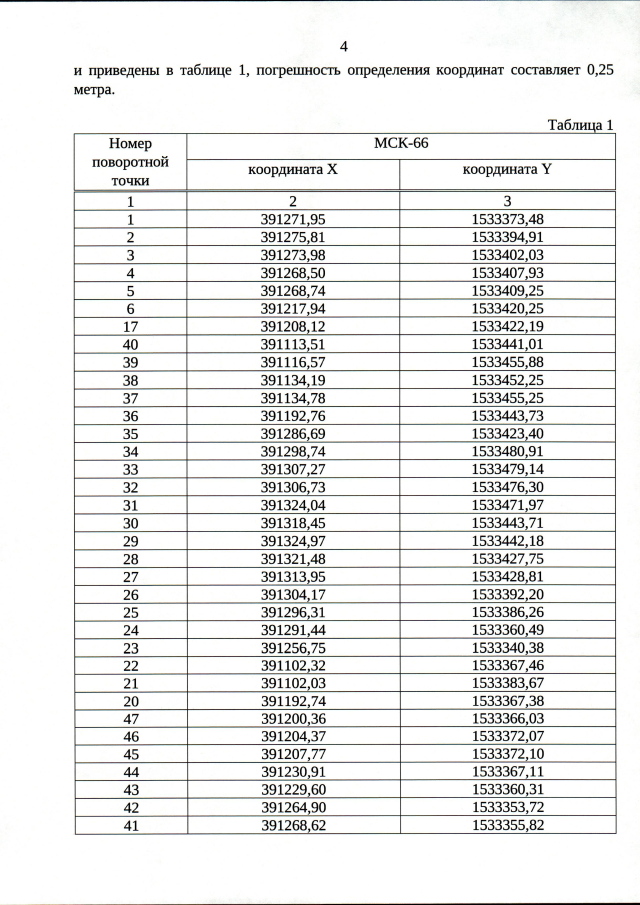
Дата опубликования: 03.12.2019
Страница №4 из 12:
Увеличить