Официальное опубликование правовых актов
ОФИЦИАЛЬНОЕ ОПУБЛИКОВАНИЕ
Приказ Министерства строительства и развития инфраструктуры Свердловской области от 20.11.2019 № 799-П
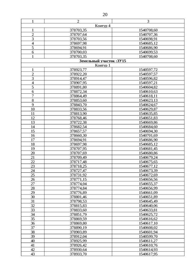
"О внесении изменений в проект межевания территории для линейного объекта транспортной инфраструктуры регионального значения "Строительство автомобильной дороги вокруг г. Екатеринбурга на участке автодорога Пермь – Екатеринбург – автодорога Подъезд к г. Екатеринбургу от автодороги "Урал", III пусковой комплекс автодорога Екатеринбург – Полевской – автодорога Подъезд к г. Екатеринбургу от автодороги "Урал"
Номер опубликования: 6601201911250003
Дата опубликования: 25.11.2019
Страница №20 из 27:
Увеличить