Официальное опубликование правовых актов
ОФИЦИАЛЬНОЕ ОПУБЛИКОВАНИЕ
Постановление Региональной энергетической комиссии Свердловской области от 11.09.2019 № 98-ПК
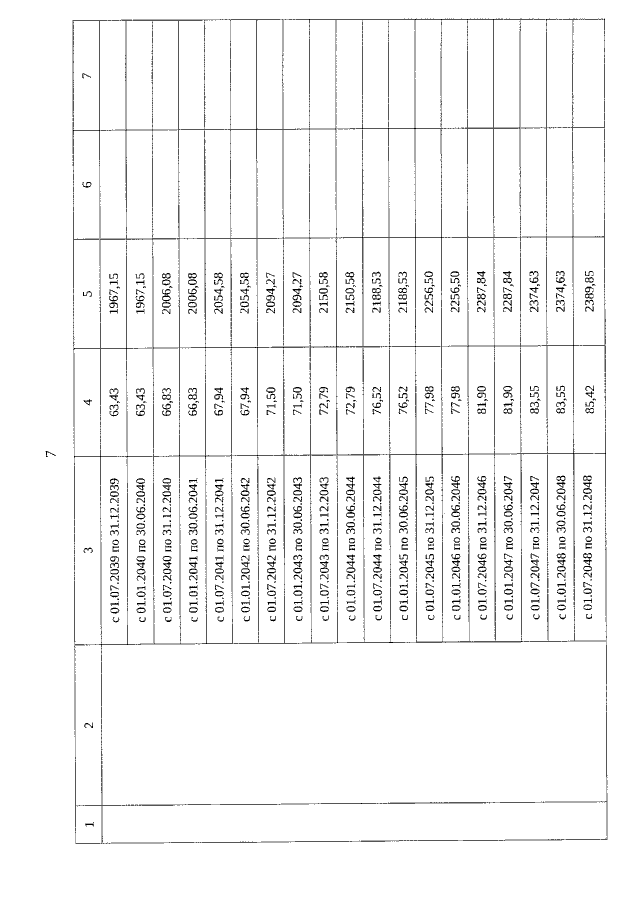
"Об установлении обществу с ограниченной ответственностью "Производственное коммерческое предприятие Синергия" (город Челябинск) долгосрочных параметров регулирования, устанавливаемых на долгосрочный период регулирования для формирования тарифов на горячую воду в открытых системах теплоснабжения (горячего водоснабжения) с использованием метода индексации установленных тарифов, и долгосрочных тарифов на горячую воду в открытых системах теплоснабжения (горячего водоснабжения), поставляемую потребителям Кушвинского городского округа, с использованием метода индексации установленных тарифов на основе долгосрочных параметров регулирования, на 2019–2048 годы"
Номер опубликования: 6601201909170006
Дата опубликования: 17.09.2019
Страница №7 из 11:
Увеличить