Официальное опубликование правовых актов
ОФИЦИАЛЬНОЕ ОПУБЛИКОВАНИЕ
Приказ Управления государственной охраны объектов культурного наследия Свердловской области от 20.05.2019 № 236
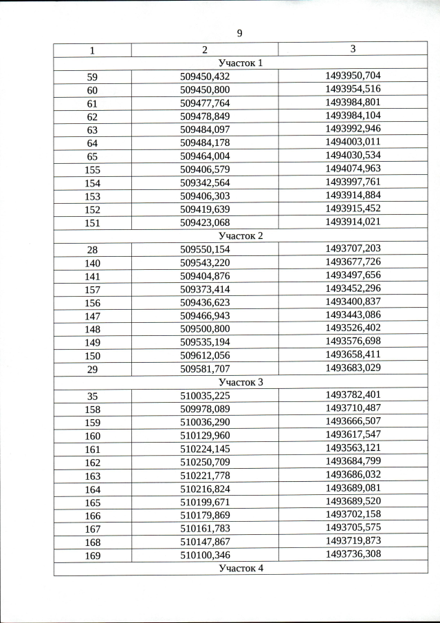
"Об установлении зон охраны объекта культурного наследия регионального значения "Комплекс Нижнетагильского металлургического завода" и входящих в его состав объектов культурного наследия регионального значения "Цех доменный", "Цеха прокатные", "Энергоцех", "Цех кузнечный", "Цех мартеновский", "Корпус штанговый", "Контора заводская", "Здание конюшен, пожарной части и заводского театра", "Цех механический" и "Конюшенный двор", расположенных по адресу: Свердловская область, г. Нижний Тагил, территория НТМЗ, и утверждении требований к градостроительным регламентам в границах данных зон"
Номер опубликования: 6601201905220007
Дата опубликования: 22.05.2019
Страница №9 из 22:
Увеличить