Официальное опубликование правовых актов
ОФИЦИАЛЬНОЕ ОПУБЛИКОВАНИЕ
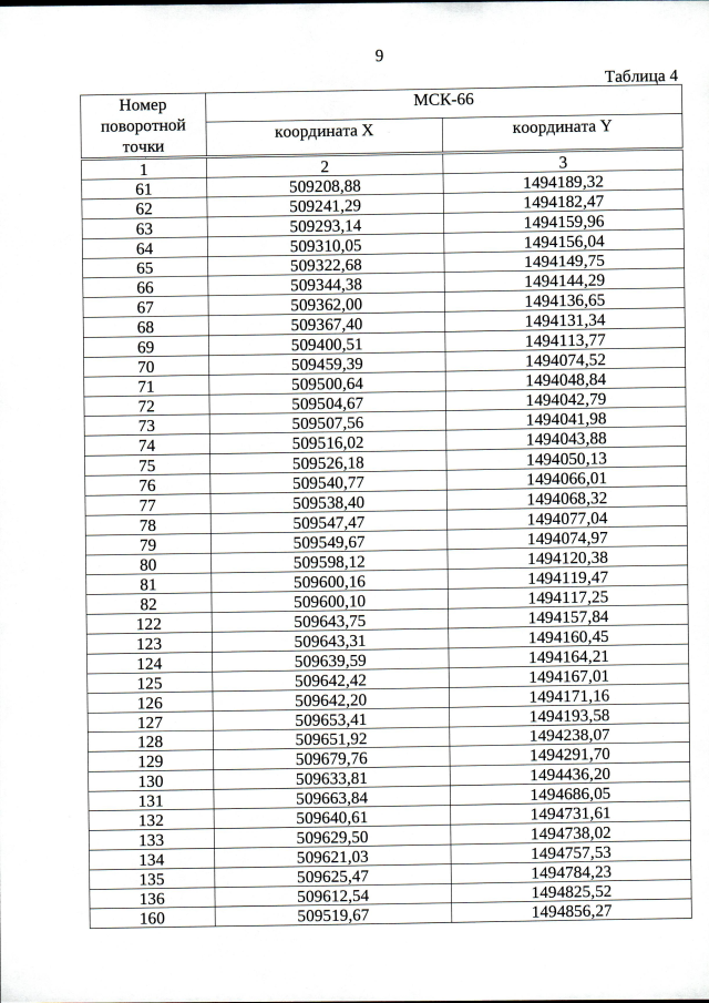
Приказ Управления государственной охраны объектов культурного наследия Свердловской области от 20.05.2019 № 230
"Об установлении зон охраны объекта культурного наследия регионального значения "Башня сторожевая на Лисьей горе", расположенного по адресу: Свердловская область, г. Нижний Тагил, Лисья гора, и утверждении требований к градостроительным регламентам в границах данных зон"
Номер опубликования: 6601201905220005
Дата опубликования: 22.05.2019
Страница №9 из 17:
Увеличить