Официальное опубликование правовых актов
ОФИЦИАЛЬНОЕ ОПУБЛИКОВАНИЕ
Приказ Управления государственной охраны объектов культурного наследия Свердловской области от 14.05.2019 № 213
"Об установлении зон охраны объекта культурного наследия регионального значения "Дом торговца Колодкина", расположенного по адресу: Свердловская область, г. Нижний Тагил, ул. Карла Маркса, д. 18, и утверждении требований к градостроительным регламентам в границах данных зон"
Номер опубликования: 6601201905200006
Дата опубликования: 20.05.2019
Страница №5 из 10:
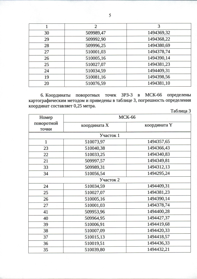
Увеличить