Официальное опубликование правовых актов
ОФИЦИАЛЬНОЕ ОПУБЛИКОВАНИЕ
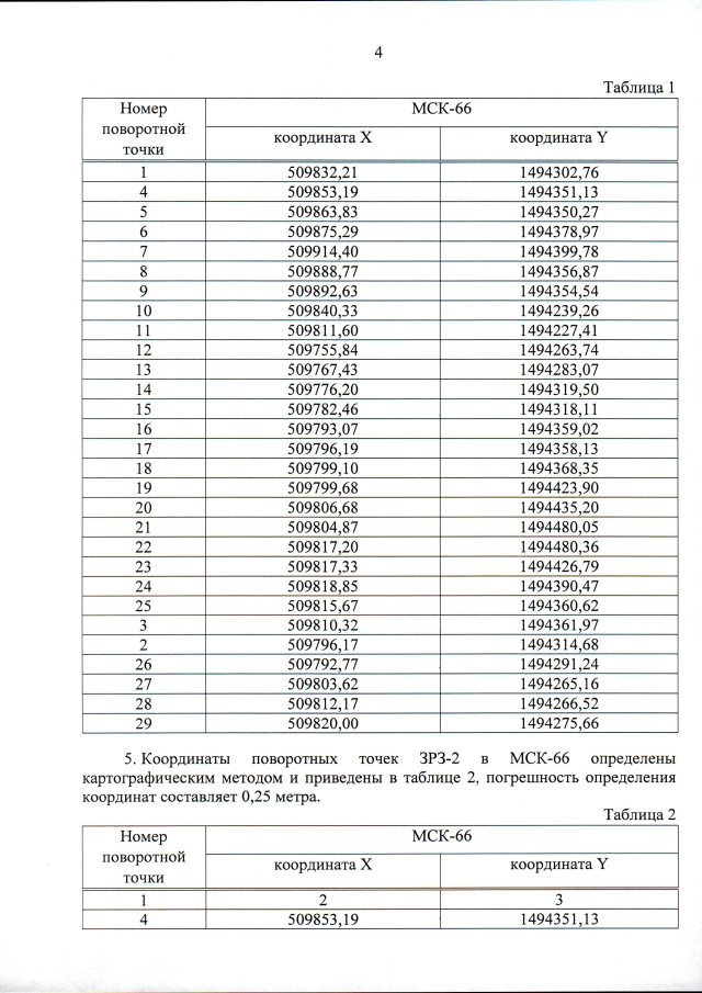
Приказ Управления государственной охраны объектов культурного наследия Свердловской области от 08.04.2019 № 152
"Об установлении зон охраны объекта культурного наследия регионального значения "Магазин провиантский верхний", расположенного по адресу: Свердловская область, г. Нижний Тагил, пр. Ленина, д. 1 "А", строение 2, и утверждении требований к градостроительным регламентам в границах данных зон"
Номер опубликования: 6601201904100004
Дата опубликования: 10.04.2019
Страница №4 из 10:
Увеличить