Официальное опубликование правовых актов
ОФИЦИАЛЬНОЕ ОПУБЛИКОВАНИЕ
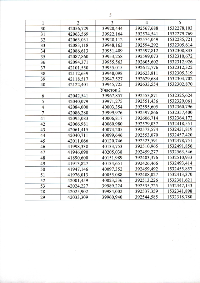
Приказ Управления государственной охраны объектов культурного наследия Свердловской области от 26.03.2019 № 128
"Об установлении зон охраны объекта культурного наследия федерального значения "Плотина на реке Ольховке", расположенного по адресу: Свердловская область, г. Екатеринбург, и утверждении требований к градостроительным регламентам в границах данных зон"
Номер опубликования: 6601201903290001
Дата опубликования: 29.03.2019
Страница №5 из 9:
Увеличить