Официальное опубликование правовых актов
ОФИЦИАЛЬНОЕ ОПУБЛИКОВАНИЕ
Приказ Министерства по управлению государственным имуществом Свердловской области от 22.01.2019 № 62
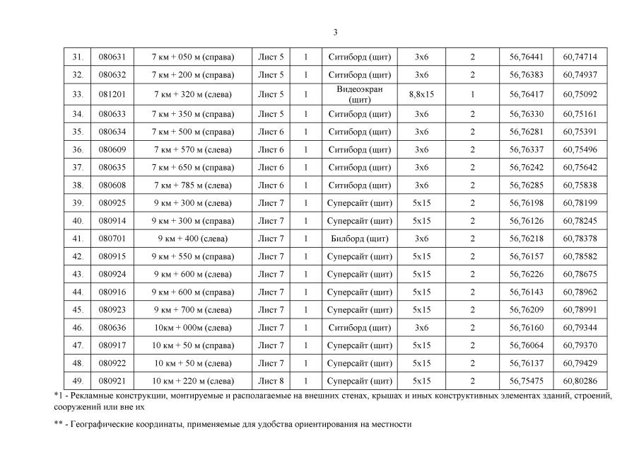
"О внесении изменений в схему размещения рекламных конструкций в границах полосы отвода и придорожных полос автомобильной дороги "г. Екатеринбург – аэропорт "Кольцово"
Номер опубликования: 6601201901250002
Дата опубликования: 25.01.2019
Страница №15 из 15:
Увеличить