Официальное опубликование правовых актов
ОФИЦИАЛЬНОЕ ОПУБЛИКОВАНИЕ
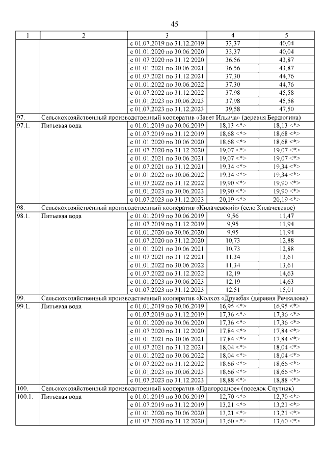
Постановление Региональной энергетической комиссии Свердловской области от 11.12.2018 № 282-ПК
"Об установлении организациям водопроводно-канализационного хозяйства Свердловской области долгосрочных тарифов в сфере холодного водоснабжения и (или) водоотведения с использованием метода индексации на основе долгосрочных параметров регулирования на 2019-2023 годы"
Номер опубликования: 6601201812190031
Дата опубликования: 19.12.2018
Страница №45 из 102:
Увеличить