Официальное опубликование правовых актов
ОФИЦИАЛЬНОЕ ОПУБЛИКОВАНИЕ
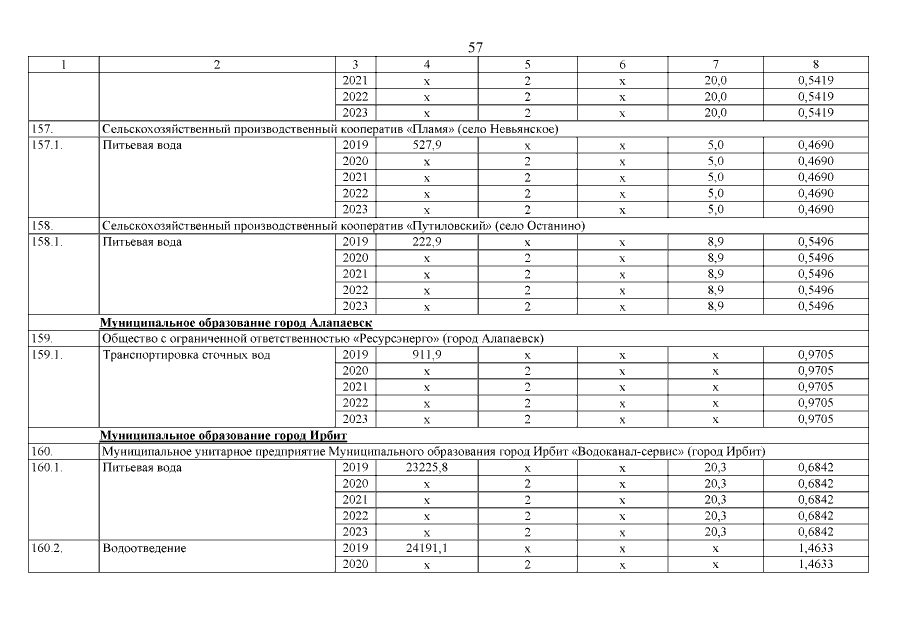
Постановление Региональной энергетической комиссии Свердловской области от 11.12.2018 № 281-ПК
"Об установлении организациям водопроводно-канализационного хозяйства Свердловской области долгосрочных параметров регулирования, устанавливаемых на долгосрочный период регулирования для формирования тарифов в сфере холодного водоснабжения и (или) водоотведения с использованием метода индексации, на 2019-2023 годы"
Номер опубликования: 6601201812190011
Дата опубликования: 19.12.2018
Страница №57 из 82:
Увеличить