Официальное опубликование правовых актов
ОФИЦИАЛЬНОЕ ОПУБЛИКОВАНИЕ
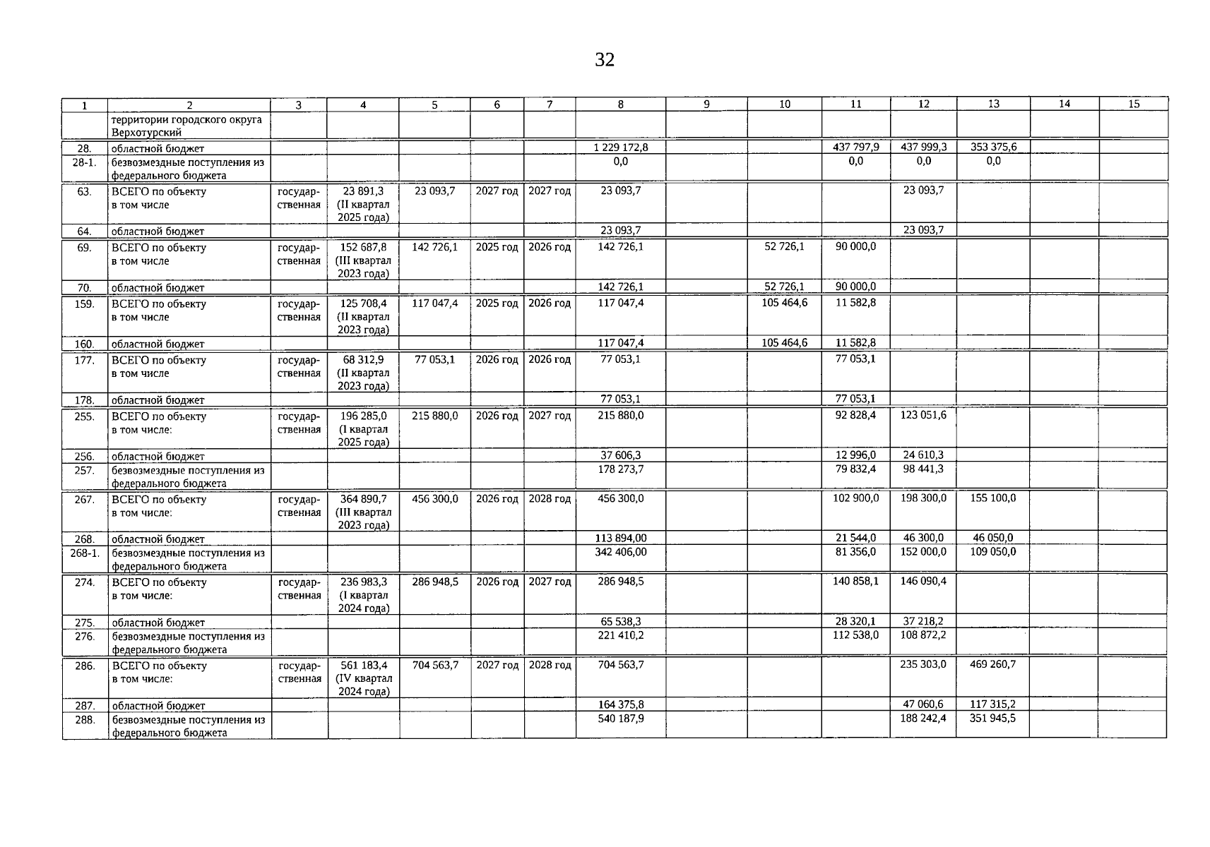
Постановление Правительства Свердловской области от 02.04.2026 № 196-ПП
"О внесении изменений в государственную программу Свердловской области "Развитие транспортного комплекса Свердловской области", утвержденную постановлением Правительства Свердловской области от 25.01.2018 № 28-ПП"
Номер опубликования: 6600202604060002
Дата опубликования: 06.04.2026
Страница №32 из 32:
Увеличить