Официальное опубликование правовых актов
ОФИЦИАЛЬНОЕ ОПУБЛИКОВАНИЕ
Постановление Правительства Свердловской области от 18.02.2026 № 108-ПП
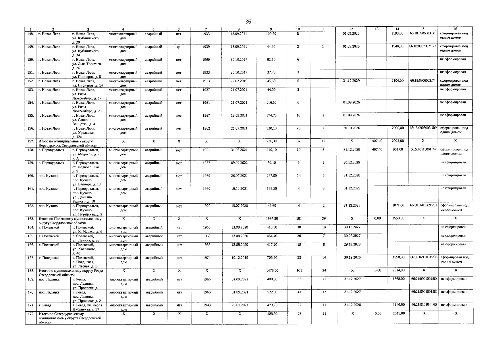
"О внесении изменений в постановление Правительства Свердловской области от 11.09.2025 № 504-ПП "Об утверждении региональной адресной программы "Переселение граждан на территории Свердловской области из аварийного жилищного фонда в 2025–2027 годах"
Номер опубликования: 6600202602190009
Дата опубликования: 19.02.2026
Страница №36 из 55:
Увеличить