Официальное опубликование правовых актов
ОФИЦИАЛЬНОЕ ОПУБЛИКОВАНИЕ
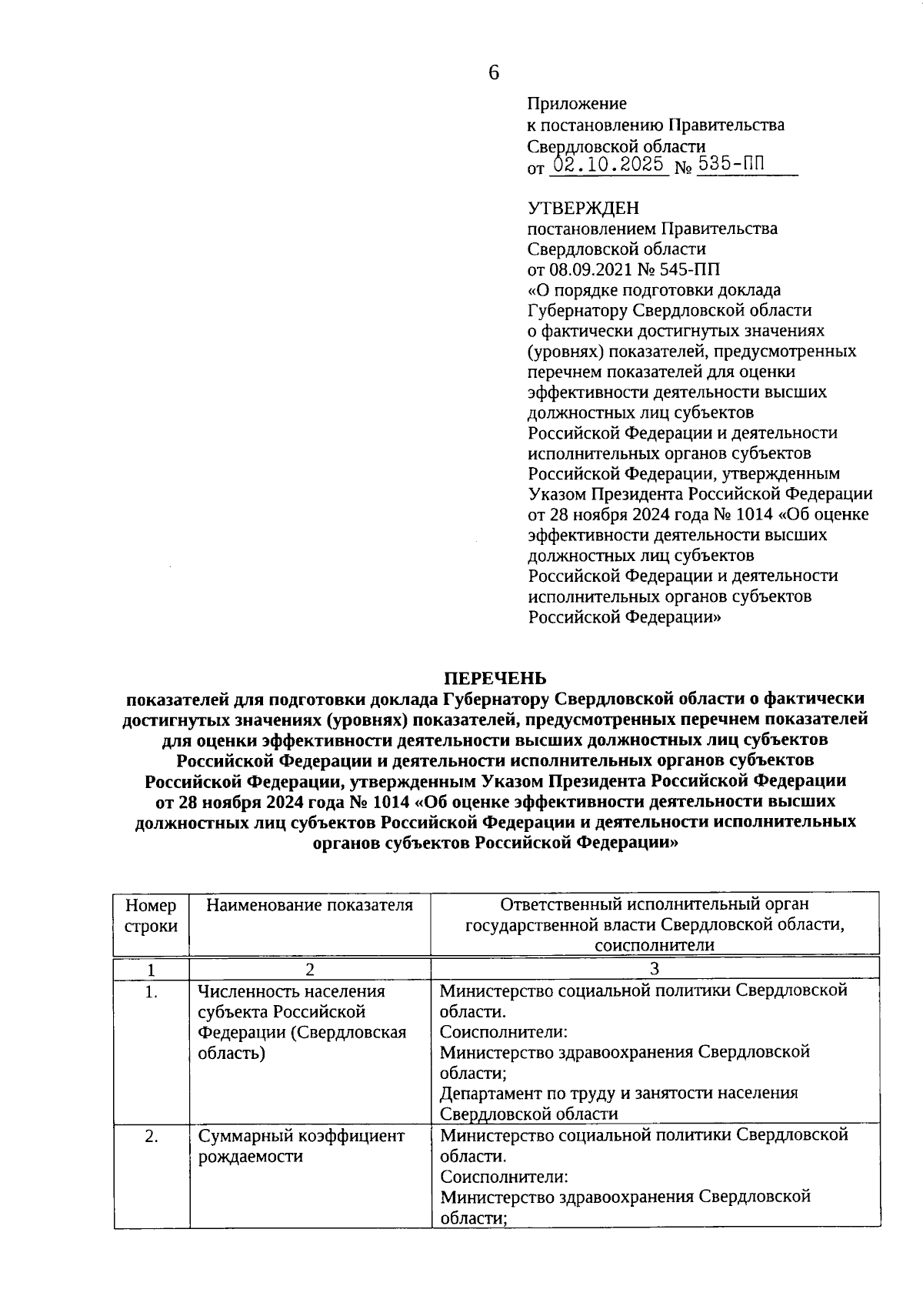
Постановление Правительства Свердловской области от 02.10.2025 № 535-ПП
"О внесении изменений в постановление Правительства Свердловской области от 08.09.2021 № 545-ПП "О порядке подготовки доклада Губернатору Свердловской области о фактически достигнутых значениях (уровнях) показателей, предусмотренных перечнем показателей для оценки эффективности деятельности высших должностных лиц субъектов Российской Федерации и деятельности исполнительных органов субъектов Российской Федерации, утвержденным Указом Президента Российской Федерации от 4 февраля 2021 года № 68 "Об оценке эффективности деятельности высших должностных лиц субъектов Российской Федерации и деятельности исполнительных органов субъектов Российской Федерации"
Номер опубликования: 6600202510030003
Дата опубликования: 03.10.2025
Страница №6 из 11:
Увеличить