Официальное опубликование правовых актов
ОФИЦИАЛЬНОЕ ОПУБЛИКОВАНИЕ
Постановление Правительства Свердловской области от 21.12.2023 № 972-ПП
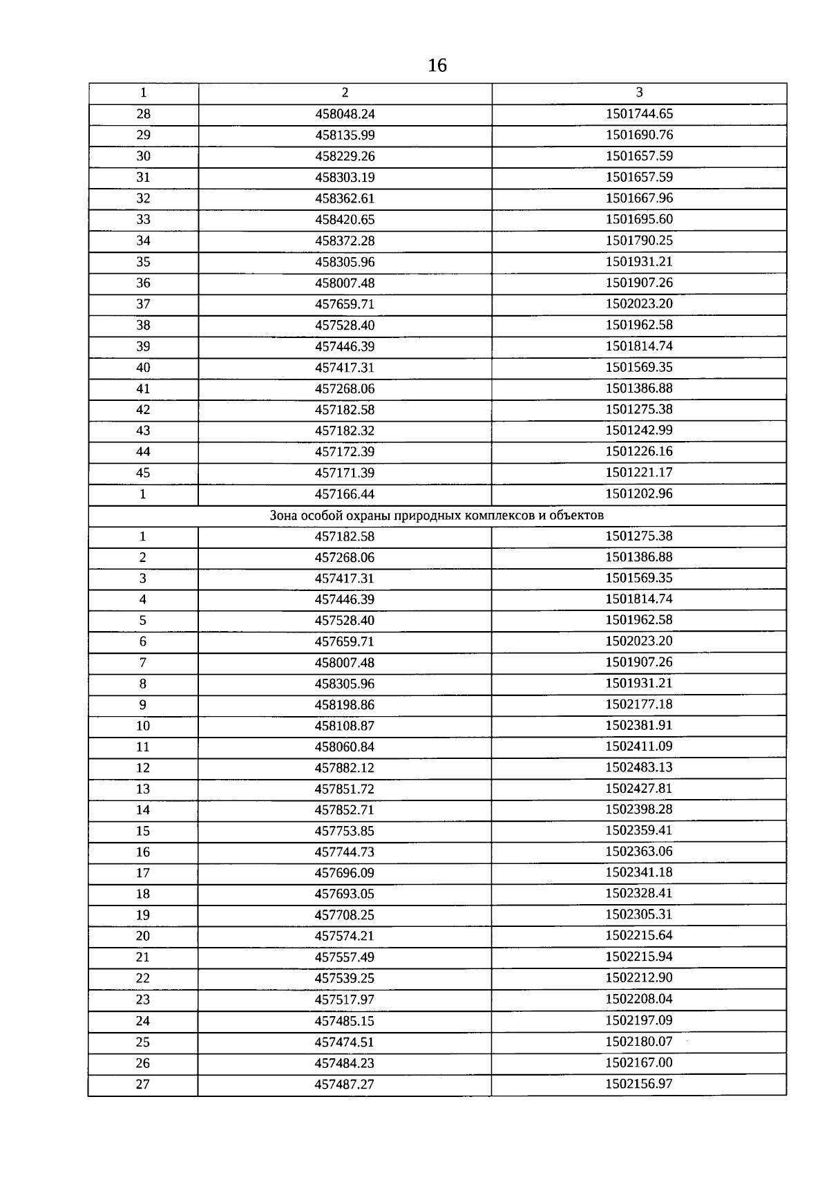
"Об утверждении Положения о памятнике природы областного значения "Городской парк культуры и отдыха г. Кировграда" и внесении изменений в постановление Правительства Свердловской области от 17.01.2001 № 41-ПП "Об утверждении перечней особо охраняемых природных территорий областного значения, расположенных в Свердловской области, и установлении режима особой охраны особо охраняемой природной территории областного значения категории "Лесной парк"
Номер опубликования: 6600202312270037
Дата опубликования: 27.12.2023
Страница №16 из 17:
Увеличить