Официальное опубликование правовых актов
ОФИЦИАЛЬНОЕ ОПУБЛИКОВАНИЕ
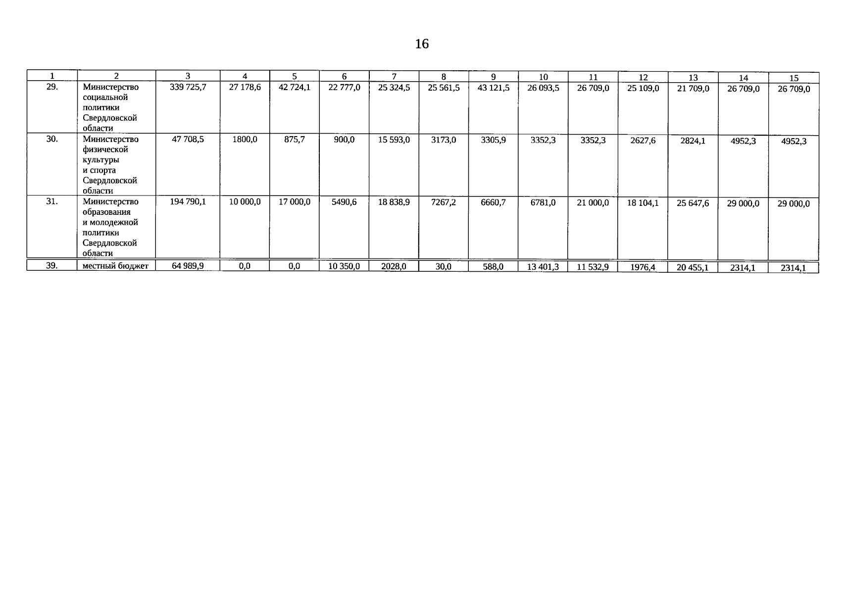
Постановление Правительства Свердловской области от 21.12.2023 № 995-ПП
"О внесении изменений в комплексную программу Свердловской области "Доступная среда", утвержденную постановлением Правительства Свердловской области от 22.01.2014 № 23-ПП"
Номер опубликования: 6600202312270009
Дата опубликования: 27.12.2023
Страница №16 из 24:
Увеличить