Официальное опубликование правовых актов
ОФИЦИАЛЬНОЕ ОПУБЛИКОВАНИЕ
Постановление Правительства Свердловской области от 30.11.2023 № 893-ПП
"О внесении изменений в комплексную программу "Развитие Городского округа Верхняя Тура" на 2020–2026 годы, утвержденную постановлением Правительства Свердловской области от 20.08.2020 № 560-ПП"
Номер опубликования: 6600202312060014
Дата опубликования: 06.12.2023
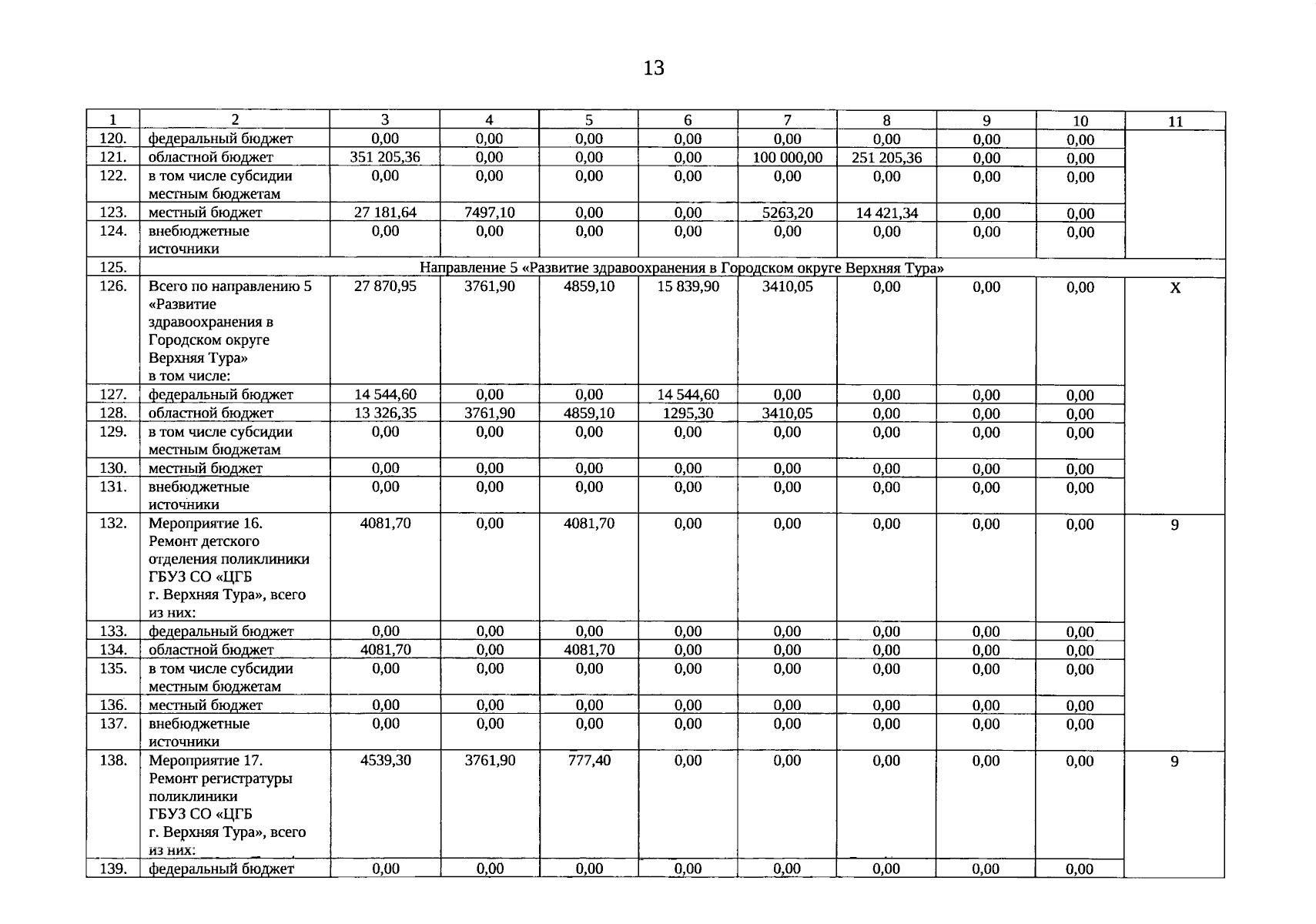
Страница №13 из 26:
Увеличить