Официальное опубликование правовых актов
ОФИЦИАЛЬНОЕ ОПУБЛИКОВАНИЕ
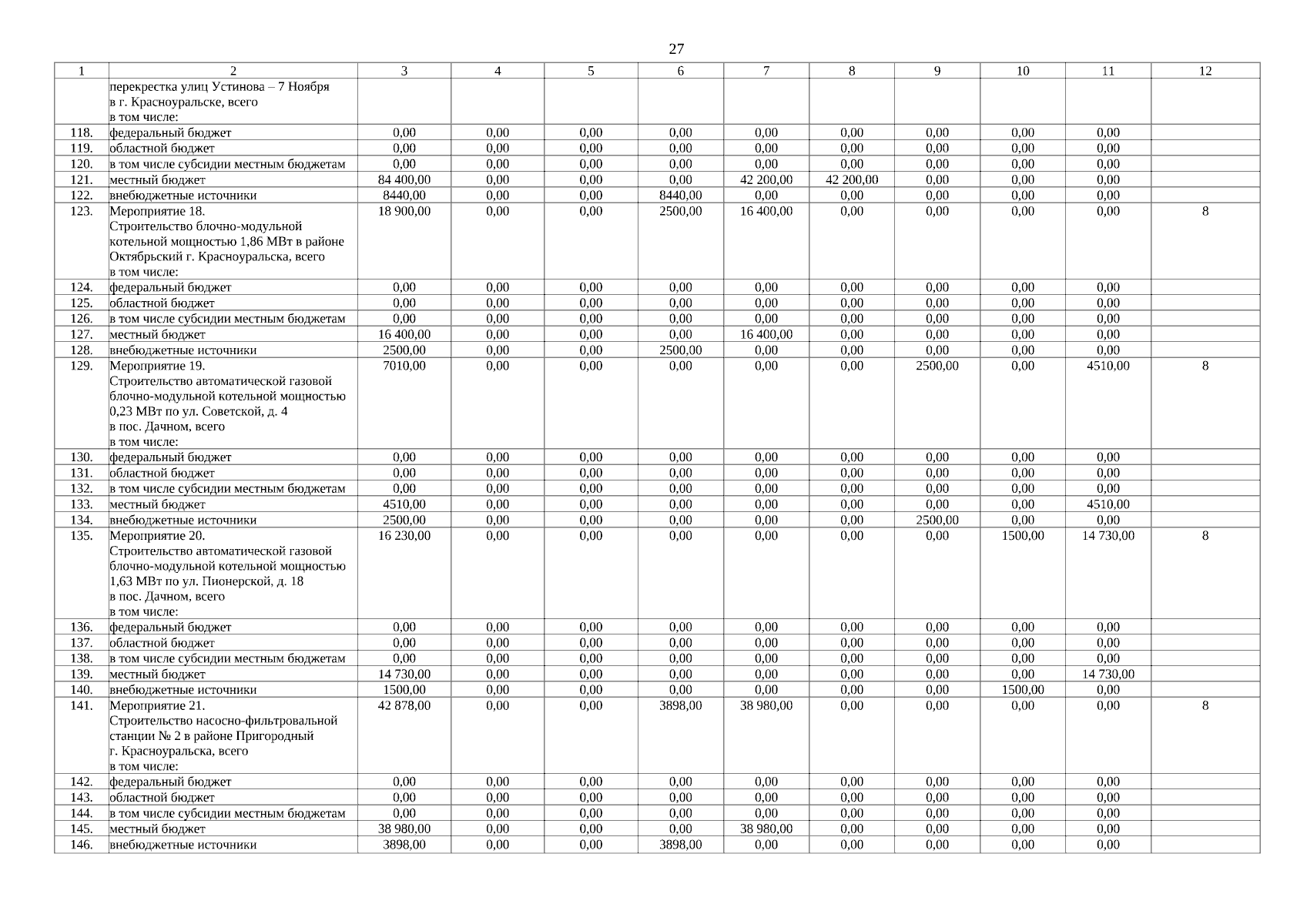
Постановление Правительства Свердловской области от 23.11.2023 № 861-ПП
"Об утверждении комплексной программы "Развитие городского округа Красноуральск" на 2023–2030 годы"
Номер опубликования: 6600202311280018
Дата опубликования: 28.11.2023
Страница №27 из 39:
Увеличить