Официальное опубликование правовых актов
ОФИЦИАЛЬНОЕ ОПУБЛИКОВАНИЕ
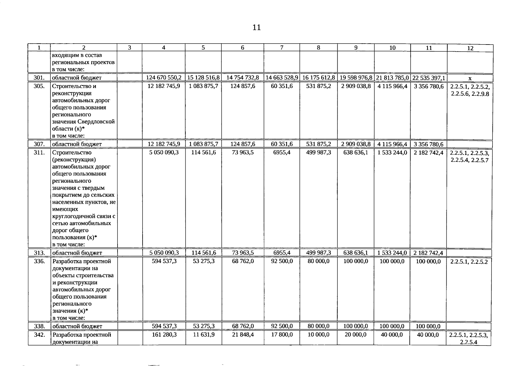
Постановление Правительства Свердловской области от 28.09.2023 № 694-ПП
"О внесении изменений в государственную программу Свердловской области "Развитие транспортного комплекса Свердловской области до 2027 года", утвержденную постановлением Правительства Свердловской области от 25.01.2018 № 28-ПП"
Номер опубликования: 6600202309290011
Дата опубликования: 29.09.2023
Страница №11 из 33:
Увеличить